MERODE GAUSS DAN GAUSS GOURDAN

                                           


                                                            Nama   : Farahdiba soumena 

                                                            Nim       :202231006 

                                                            Kelas     : A 

                                                            Jurusan : Teknik informatika   

matkul     : Aljabar linear 

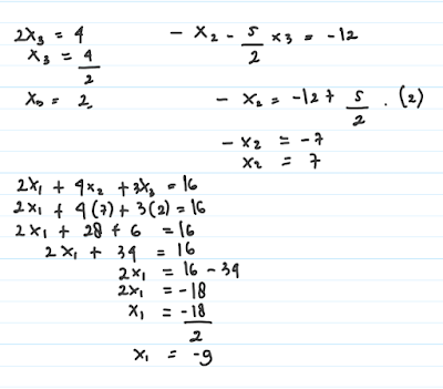
METODE GAUSS 

SISTEM PERSAMAAN LINEAR (SPL) DENGAN METODE GAUSS





METODE GAUSS GOURDAN





 


Komentar